React原理:diff算法

  • ReactVirtual DOM树转换为actual DOM树的最少操作的过程称为调和(reconciliation
  • diff算法就是调和的具体实现

diff算法的3个策略

  1. Web UI中DOM节点跨层级的移动操作特别少,可忽略不计(进行tree diff
  2. 拥有相同类型的两个组件将会生成相似的树形结构,拥有不同类型的两个组件将会生成不同的树形结构(进行component diff
  3. 对于同一层级的一组子节点,它们可以通过唯一key进行区分(进行element diff

tree diff

  • 两棵树只会对同一层级的节点进行比较。在tree diff中只会发生 创建删除 操作。
  • 如下图的节点变化:当A节点(包括其子节点)整个被移到D节点下。React会认为A消失了,就会删除A节点。D节点上多出的A节点,React会认为其是新增节点,创建新的A(包括子节点)。因此尽量不要进行DOM节点跨层级的操作,这样操作会使得节点以及子节点被重新创建,影响性能。

    DOM层级变换.jpg

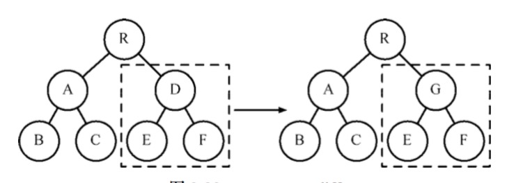
component diff

  • 组件间的diff策略
    • 如果是同一类型的组件,按照继续递归比较Virtual DOM树即可(PS:可以通过shouldComponentUpdate()来判断组件是否需要进行diff算法分析)
    • 如果不是,则将该组件判断为dirty component,删除该节点及其子节点,并重新创建新组件及其子节点
  • 如下图的节点变化:当组件D变成了组件G时,会直接删除组件D,重新创建组件G及其子节点。

    component_diff.jpg

element diff

  • 同一层级一组子节点,会有三种节点操作:INSERT_MARKUP(插入)、MOVE_EXISTING(移动)、REMOVE_NODE(删除)

    • 1)新旧集合中存在相同节点但位置不同(通过节点的key来优化如下情况)
      • 未添加key属性时,diff结果:需要删除A,创建B。依次类推,创建并插入A、D、C,删除B、C、D。
      • 添加后,diff结果:B、D不做任何操作,A、C进行移动操作即可

        相同节点位置不同.jpg
    • 2)新集合中有新加入的节点且就集合存在需要删除的节点:

      节点不同时的创建、移动、删除.jpg
  • 存在的不足:如下图,只需要移动D就可以完成更新,但是按照算法会移动A、B、C


    节点更新存在的不足.jpg